
* 같이 보면 좋은 글
📄 [중2-1] 연립방정식 완전 정복 (1) - 계수가 정수인 연립방정식, A=B=C꼴
📄 [중2-1] 연립방정식 완전 정복 (2) - 괄호가 있는 연립방정식
* 연립방정식 완전 정복 (2주 과정)
기말고사를 준비하느라 연립방정식 공부하는 학생들이 많을 듯 합니다.
연립방정식 컨텐츠가 필요하다는 요청이 있어
2주에 걸처 연립방정식 완전 정복 커리큘럼을 운영해보려 합니다.
기존의 계산학습지처럼 계산 기능 숙달을 목표로 할 예정이며, 교과서 및 문제집과 연계하여 공부 계획을 세우면 좋을 듯 합니다.
연립방정식 완전 정복은 모두 4개의 학습지로 이루어져 있으며, 세부 사항은 다음과 같습니다.
| 순번 | 주제 | 문제 수 | 업로드 일자 |
| 1 | 계수가 정수인 연립방정식, A=B=C꼴 연립방정식 | 50 | 2021-06-03(목) 오전 11시 |
| 2 | 괄호가 있는 연립방정식 | 30 | 2021-06-07(월) 오전 7시 |
| 3 | 계수가 분수인 연립방정식 | 50 | 2021-06-10(목) 오전 7시 |
| 4 | 계수가 소수인 연립방정식 | 30 | 2021-06-14(월) 오전 7시 |
이번 시간에는 계수가 분수인 연립방정식을 공부해봅시다.
1. 계수가 분수인 연립방정식
[정리] 계수가 분수인 연립방정식 풀이
(1) 양변에 0이 아닌 같은 수를 곱해 분모가 1이 되도록 한다(계수를 정수로 만든다.)
(2) 양변에 0이 아닌 같은 수를 곱해 y에 관한 식(또는 x에 관한 식)이 지워지도록 맞춘다.
(3) 두 식을 더하거나 빼어 한 문자를 지운다.
(4) x의 값(또는 y의 값)을 구한다.
(5) 하나의 식에 대입해 나머지 한 문자의 값을 구한다.
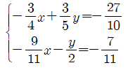
예) 다음 연립방정식의 해를 구하여라.

첫번째 방정식의 계수를 자연수로 바꾸려면 얼마를 곱해야 할까요?
4,5,10의 공통된 배수를 곱하면 되겠죠? 이를 1학년 때 공배수라고 배웠습니다.
가장 간단한 정수를 갖기 위해서는 최대한 작은 수를 곱해야 하므로
최소공배수를 곱하는 것이 좋겠군요.
4, 5, 10의 최소공배수는 20이므로
양변에 20을 곱하면
-15x+12y=-54입니다.
같은 방법으로 두 번째 방정식을 간단히 하여봅시다.
11,2의 최소공배수는 22이므로
양변에 22를 곱합니다.
-18x-11y=-14입니다.
이제 연립방정식을 풀어봅시다.
-15x+12y=-54
-18x-11y=-14
두 식에 각각 6과 5를 곱하면
-90x+72y=-324
-90x-55y=-70
입니다.
위에서 아래를 빼면
127y=-254
y=-2입니다.
y=-2를 -15x+12y=-54에 대입해봅시다.
-15x-24=-54
-15x=-30
x=2입니다.
* 학습지 미리보기


* 첨부파일
* 닫는 말
이번 시간에는 계수가 분수인 연립방정식을 살펴보았습니다. 분수의 곱셈, 유리수의 덧셈과 뺄셈, 연립방정식의 풀이까지 여러 수학 개념이 필요한 문항이라 어려운 유형이라고 생각합니다.
특히 분수는 계산실수가 나기 쉬어 세심한 연습이 필요합니다. 충분히 50문항으로 구성했으니 문제를 풀어보시고 질문이 있는 경우 자유게시판을 이용해주시기를 바랍니다.
오늘도 화이팅하시고 마지막 포스팅(계수가 소수인 연립방정식)으로 찾아뵙겠습니다. 감사합니다.
✔ 이 글이 도움이 되셨나요?
- 댓글이나 자유게시판에 글을 남겨주세요. 글쓴이에게 큰 힘이 됩니다.
✔ 저작물 관련 유의사항
- 본 저작물(문제 및 그림)은 학습지제작소에 있으며, 비상업적, 상업적 이용(수업에서 부교재로 사용하는 경우만)이 가능합니다.
- 저작물을 사용 시 출처를 밝힌 후, 자유롭게 사용이 가능합니다.
- 학습지제작소의 저작물을 관리자의 동의없이 2차 배포하거나, 제 3자에게 제공하거나, 또는 출판하는 행위(ISBN이 포함된 서적으로 출판)는 엄격히 금지합니다.
Copyright. 2020. 학습지제작소. All Rights Reserved.
#태그 : 중2, 연립방정식 완전정복, 계수가 분수인 연립방정식 학습지, 분수 연립방정식 문제, 분수 연립방정식 수학학습지 다운, 다운로드, 중2내신, 학습지제작소
'수학 학습지 > 중학교 2학년 1학기' 카테고리의 다른 글
| [중2/보충] 거리, 속력, 시간 연습문제 40제 | 일차부등식의 활용 (2) | 2021.06.24 |
|---|---|
| [중2-1] 연립방정식 완전 정복 (4) - 계수가 소수인 연립방정식 (1) | 2021.06.14 |
| [중2-1] 연립방정식 완전 정복 (2) - 괄호가 있는 연립방정식 (0) | 2021.06.07 |
| [중2-1] 연립방정식 완전 정복 (1) - 계수가 정수인 연립방정식, A=B=C꼴 (0) | 2021.06.03 |
| [중2-1] 연립일차방정식(연립방정식) 단원 종합 계산학습지 75문제 (2) | 2021.05.10 |