* 보충 학습지
이 학습지는 '보충 학습지로' 과거 프리미엄 학습지로 운영했던 자료입니다.
정규 학습지에서 더 풀어보고 싶거나 새로운 유형을 풀고 싶으실 때 활용하시면 좋겠습니다.
* 고등수학에서
고등수학(상) 인수분해 파트 보충학습지로,
두 유형을 모두 담았습니다.
인수분해의 기초부터 다지고 싶으시다면,
중학교 3학년 인수분해 파트를 복습해오시면 좋은 효과를 보실 수 있습니다.
[TIP] 이차식 인수분해에 대하여 다루었으니, 중3 인수분해로 이차식 공부를 하신 후, 삼차식 인수분해를 풀어보세요.
모든 문제는 삼차식으로 주어지며, 곱셈공식이나 조립제법으로 푸실 수 있습니다.
1. 곱셈공식을 이용하여 삼차식 인수분해하기
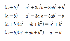
<활용할 수 있는 곱셈공식 - 삼차식>

예) 다음 식을 인수분해해 봅시다.

예) 다음 식을 인수분해해 봅시다.

2. 조립제법을 사용하여 삼차식 인수분해하기
조립제법은 다항식의 계수를 적은 후, x에 대한 일차식 인수가 0이 되도록 하는 x의 값을 넣어 나머지를 구하는 방법입니다. 이때 x에 대한 일차식 인수가 0이 되도록 하는 x의 값은 상수항의 부호를 뒤집은 값과 같습니다. (x-1)을 인수로 가지면 왼쪽에는 '1'을, (x+2)를 인수로 가지면 왼쪽에는 '-2'를 적는 것이죠.
구체적인 조립제법의 과정은 다음과 같습니다. 다항식 x^3 -2x +1을 인수분해한 과정입니다. 나머지가 0이 된다는 것은 나누어떨어진다는 의미이기 때문에 두 인수로 만들 수 있습니다.

* 학습지 미리보기


* 첨부파일
[2021-12-21 추가] 24번 답안을 수정하였습니다.
✔ 이 글이 도움이 되셨나요?
- 댓글이나 자유게시판에 글을 남겨주세요. 글쓴이에게 큰 힘이 됩니다.
- 학습지제작소를 구독하시면 빠르게 소식을 받아보거나 프리미엄 학습지를 신청하실 수 있습니다.
✔ 저작물 관련 유의사항
- 본 저작물(문제 및 그림)은 학습지제작소에 있으며, 비상업적, 상업적 이용(수업에서 부교재로 사용하는 경우만)이 가능합니다.
- 저작물을 사용 시 출처를 밝힌 후, 자유롭게 사용이 가능합니다.
- 학습지제작소의 저작물을 관리자의 동의없이 2차 배포하거나, 제 3자에게 제공하거나, 또는 출판하는 행위(ISBN이 포함된 서적으로 출판)는 엄격히 금지합니다.
Copyright. 2020. 학습지제작소. All Rights Reserved.
#태그 : 고1, 고등수학(상), 삼차식 인수분해 방법, 사차식 인수분해 방법, 고등학교 인수분해 학습지, 자습 자료, pdf, 다운, 다운로드
'수학 학습지 > 공통수학1' 카테고리의 다른 글
| [보충] 삼차방정식+사차방정식 (1) : 30문제 (0) | 2020.12.03 |
|---|---|
| [보충] 근과 계수의 관계 (4) : 30문제 (0) | 2020.12.03 |
| [보충] 나머지정리 보충학습지 (1) : 30문제 (고1) (2) | 2020.12.03 |
| 도형의 대칭이동 (고등수학 (상) 개념+수학문제) (0) | 2020.11.09 |
| 점의 대칭이동 : x축, y축, 원점에 대칭 (개념+수학문제) (0) | 2020.10.31 |