* 같이 보면 좋은 글
* 분자와 분모가 분수인 분수

위와 같이 분모와 분자가 분수인 분수가 있습니다. 분모는 2분의 1, 분자는 3분의 1이죠.
분모 또는 분자에 분수가 있는 분수를 번분수라고 부릅니다.
번분수는 나눗셈 기호 없이 하나의 분수로 나타낼 수 있어 편리합니다. 수를 나타낼 때 간편하다는 장점이 있죠. 예를 들어

* 번분수의 계산
번분수는 어떻게 계산할 수 있을까요?
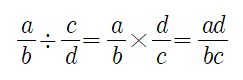
번분수

를 간단히 나타내어봅시다.
분수는 나눗셈으로 나타낼 수 있으므로

입니다.
이 과정을 직관적으로 나타내면 다음과 같습니다.

예)

예)

* 학습지 미리보기


* 첨부파일
* 닫는 말
이번 학습지는 번분수의 계산으로, 정규 교육과정 외 특강으로 진행하였습니다. 번분수는 문제 풀이에 유용하게 사용할 수 있기 때문에 계산하는 방법을 익혀두는 것이 좋습니다. 문제를 풀어보며 번분수를 익혀봅시다.
✔ 저작물 관련 유의사항
- 본 저작물(문제 및 그림)은 학습지 제작소에 있으며, 비상업적, 상업적 이용이 가능합니다.
- 저작물을 사용 시 출처를 밝힌 후, 자유롭게 사용이 가능합니다.
- 학습지제작소의 저작물을 2차 배포하거나, 제 3자에게 제공하거나, 또는 출판하는 행위(ISBN이 포함된 서적으로 출판)는 엄격히 금지합니다.
Copyright. 2020. 학습지제작소. All Rights Reserved.
#태그 : 번분수의 뜻, 번분수의 계산 학습지, 번분수의 계산 방법, 번분수 문제, 다운 ,다운로드, PDF, 학습지제작소
'수학 학습지 > 보충 특강 문제' 카테고리의 다른 글
| 7의 배수 판정법 (0) | 2021.05.09 |
|---|---|
| [수학퍼즐] 포포즈 게임 - '4' 4개로 10까지의 수 만들기 (활동지 첨부) (0) | 2021.04.16 |