
| 같이 보면 좋은 글
📄 직선의 방정식
| 원의 방정식

[정리] 원의 중심이 (a,b)이고 반지름의 길이가 r인 원의 방정식은 다음과 같습니다.

원의 방정식을 구하는 유형은 크게 세 가지입니다.
i) 원의 중심과 반지름을 주는 경우
ii) 지름의 양 끝 점을 주는 경우
iii) 세 점의 좌표를 주는 경우
i) 원의 중심과 반지름을 주는 경우
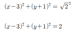
예) 원의 중심이 (3,-1)이고 반지름의 길이가 2인 원의 방정식을 구하면,

ii) 지름의 양 끝 점을 주는 경우
예) 두 점 (4,-2), (-2, 6)이 원의 지름의 양 끝 점일 때, 원의 방정식을 구하면,
두 점을 잇는 선분의 중점은 (1,2)이므로,
원의 중심은 (1,2)입니다.
원의 반지름 r은 원의 중심과 양 끝점 사이의 거리와 같으므로,

따라서 원의 방정식은

iii) 세 점을 주는 경우
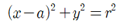
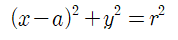
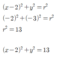
예) 원의 중심이 x축 위에 있고, 두 점 (0,3), (-1,-2)을 지나는 원의 방정식을 구하면,
원의 중심은 (a,0), 반지름을 r로 놓으면,

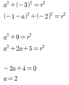
두 점 (0,3), (-1,-2)를 원의 방정식에 각각 대입하면,

a=2를 원의 방정식에 대입하면,

| 학습지 미리보기


| 첨부파일
| 닫는 말
원은 좌표평면 위에 나타낼 수 있습니다. 그리고 x와 y에 대한 식으로도 나타낼 수 있습니다. 원의 방정식은 원을 수식으로 나타낼 수 있어 여러 가지 방정식을 풀거나 도형 사이의 관계를 분석할 때 필요합니다.
이번 문제는 원의 방정식을 구하는 문제 20문항으로 구성했습니다. 문제를 풀어보면서 원의 방정식으로 나타내는 연습을 해보시길 바랍니다.
✔ 저작물 관련 유의사항
- 본 저작물(문제 및 그림)은 학습지 제작소에 있으며, 비상업적, 상업적 이용이 가능합니다.
- 저작물을 사용 시 출처를 밝힌 후, 자유롭게 사용이 가능합니다.
- 학습지제작소의 저작물을 2차 배포하거나, 제 3자에게 제공하거나, 또는 출판하는 행위(ISBN이 포함된 서적으로 출판)는 엄격히 금지합니다.
Copyright. 2020. 학습지제작소. All Rights Reserved.
#태그 : 고등수학(상) 원, 고1 수학 원의 방정식, 원의 방정식 나타내는 방법, 원의 방정식 문제, 원의 방정식 학습지,원의 방정식 연습문제, pdf, 다운, 다운로드, 학습지제작소
'수학 학습지 > 공통수학1' 카테고리의 다른 글
| 원의 접선의 방정식 (공식+수학문제) (0) | 2020.09.24 |
|---|---|
| 원과 직선의 위치 관계 (개념+연습문제) (0) | 2020.09.11 |
| 점과 직선 사이의 거리 (개념+수학문제) (0) | 2020.08.29 |
| 두 직선의 평행조건, 수직조건 (고등수학 (상) 개념+수학문제) (0) | 2020.08.28 |
| 직선의 방정식 (고등수학 (상) 개념+수학문제) (2) | 2020.08.23 |