
| 같이 보면 좋은 글
| 자연수의 나눗셈
나누어 떨어지지 않는 자연수의 나눗셈은 어떻게 계산할 수 있을까요?
우리는 앞서 11÷3과 같이 나누어 떨어지지 않는 자연수의 나눗셈을 나타내는 방법을 두 가지 배웠습니다.
첫 번째 방법은 몫과 나머지로 나타내는 방법입니다.
11은 3이 3묶음으로 묶이고, 나머지가 2이므로
11÷3=3...2로 나타낼 수 있습니다.
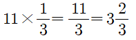
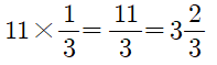
두 번째 방법은 몫을 분수로 나타내는 방법입니다.11÷3은

으로 나타낼 수 있습니다.
6학년 2학기 소수의 나눗셈에서는 몫을 반올림하여 소수로 나타내는 방법을 배웁니다.
11÷3을 세로셈으로 나타내면 다음과 같습니다.

11을 3으로 나누면 몫은 3, 나머지는 2입니다.
나머지 2를 2.0으로 생각하고 몫을 소수 첫째자리까지 구하면
몫은 3.6, 나머지는 0.2입니다.

이 과정을 반복하면 11÷3의 몫은 3.66666....임을 알 수 있습니다.

이제 몫을 반올림하여 소수 첫째자리까지 나타내어봅시다.
3.666...의 소수 둘째 자리를 반올림하면 3.7이 됩니다.
따라서 몫은 약 3.7입니다.
몫을 반올림하여 소수 둘째자리까지 나타내어보면,
소수 셋째 자리에서 반올림해야 하므로 약 3.67입니다.
| 학습지 미리보기


| 첨부파일
| 닫는 말
이번 학습지는 (자연수) ÷ (자연수)의 몫을 반올림하여 소수 첫째 자리와 소수 둘째 자리까지 구하는 문제로 구성했습니다. 몫을 소수로 나타내면 분수로 나타내는 것보다 덜 정확하지만 몫의 크기를 가늠하기 편리하다는 장점이 있습니다. 나누어떨어지지 않는 수로 나누어보면서 몫을 어림값으로 나타내어봅시다.
✔ 저작물 관련 유의사항
- 본 저작물(문제 및 그림)은 학습지 제작소에 있으며, 비상업적, 상업적 이용이 가능합니다.
- 저작물을 사용 시 출처를 밝힌 후, 자유롭게 사용이 가능합니다.
- 학습지제작소의 저작물을 2차 배포하거나, 제 3자에게 제공하거나, 또는 출판하는 행위(ISBN이 포함된 서적으로 출판)는 엄격히 금지합니다.
Copyright. 2020. 학습지제작소. All Rights Reserved.
#태그 : 초6, 초등학교 6학년, 소수의 나눗셈, 소수의 나눗셈 몫 어림값, 반올림, 자연수의 나눗셈 몫 반올림하기, 문제, 연습문제, 다운, 다운로드, pdf, 학습지제작소
'수학 학습지 > 초등학교 6학년 2학기' 카테고리의 다른 글
| [초6-2] 12. 가장 간단한 자연수의 비 (구하는 법+수학문제) (0) | 2020.09.23 |
|---|---|
| [초6-2] 11. 비례식과 비례배분 > 전항, 후항 (개념+수학문제) (0) | 2020.09.17 |
| [초6-2] 9. 소수의 나눗셈의 몫 반올림하기 (개념+수학문제) (0) | 2020.09.01 |
| [초6-2] 8. (자연수)÷(소수) : 자연수 나누기 소수 계산 방법 (개념+수학문제) (0) | 2020.08.24 |
| [초6-2] 7. 자릿수가 다른 소수 나누기 소수, 소수의 나눗셈 소수점 옮기기 (개념+수학문제) (0) | 2020.08.18 |