
| 같이 보면 좋은 글
| 변화율/증가율이란?
변화율은 기존의 양에서 얼마만큼 증가했는지 백분율로 나타낸 것입니다.
편의상 증가율이라고도 부릅니다.
예를 들어, 100에서 150으로 증가했다면 증가율은 50만큼 증가했으므로 50%입니다.
변화율은 공기업이나 공채를 준비하는 여러 수험생 분들이 까다로워하는 계산이라고 생각합니다.
이번 포스팅에서는 변화율에 대한 개념과 함께 빠르게 계산할 수 있는 방법을 나누어보려고 합니다.
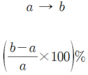
변화율은 a에서 b로 변화할 때 다음과 같은 공식을 따릅니다.

공식에 따르면 140에서 160으로 변화했을 때 변화량은
{(160-140)/140 × 100} %
= 20/140 × 100
= 1/7 × 100
≒ 14%
로 계산할 수 있습니다.
하지만 실전 문제에서는 저렇게 아름다운 숫자들은 찾기 어렵습니다.
대체로 변화율에 관해서는 정확히 판단하기보다는 판정하는데 중점을 두기 때문에
변화율 판정하는 기술을 소개해드리겠습니다.
<변화율 빠르게 판정하는 방법>
i) 유효숫자를 반올림하여 2개까지 놓을 것 (필요하다면 3개까지)
ii) 변화량을 10%단위로 나타내기 (5%가 명확하다면 5%까지)
iii) 구한 비율보다 약간 더 크다면 뒤에 +, 약간 작다면 -를 붙이기
예1) 1103에서 1842로 증가할 때 증가율은
1103을 1100, 1842를 1800으로 나타낸 후,
11->18의 변화량을 구해봅니다.
변화량은 7이고 변화율은 7 = 1.1×6+0.4이므로,
65-%
* 실제 변화량 : 약 67%
예2) 9611에서 13455로 증가할 때 증가율은
9611을 9600으로, 13455를 13400으로 나타낸 후,
96->134의 변화량을 구해봅니다.
변화량은 38이고, 변화율은 38 = 9.6×4 - 0.4이므로,
40-%
* 실제 변화량 : 약 40%
이와 같이 실제변화량과 매우 비슷하면서도
빠르게 변화율을 구할 수 있습니다.

예3) 이 방법을 이용해 셋 중 가장 증가율이 작은 것을 골라봅시다.
(1) 978 -> 1574
(2) 4728 -> 7801
(3) 4394 -> 6942
<풀이>
(1) 97 -> 157의 변화량 : +60
60 = 9.7×6 + 1.8
증가율 : 60+%
(2) 47 -> 78의 변화량 : +31
31 = 4.7×7 - 1.9
증가율: 65+%
(3) 44 -> 69의 변화량 : +25
25 = 4.4×5+3
25 = 4.4×5.5+0.8
증가율: 55+%
따라서 3번이 가장 작습니다.
(실제 증가율 : 61%/65%/58%)
정답 : 3

예4) A군의 2014년 P사업에 대한 예산이 313,541천원, 2020년 P사업에 대한 예산이 589,714천원일 때, P사업의 2020년 예산은 2014년 대비 90%이상 증가하였다. (O,X)
313,541 -> 314,000
589,714 -> 590,000
314에서 590으로 변할 때 증가량은 276
276 = 31.4×9 - 6.6
= 90-%
따라서 90%이상 증가하였다는 틀린 설명이다.
(실제 증가율 : 약 88%)
| 학습지 미리보기

| 첨부파일
| 닫는 말
증가율은 많이 풀면서 연습해보아야 하는 유형입니다. 특히 숫자가 다섯자리 이상으로 복잡하게 나오기 쉽기 때문에 간단히 어림수로 나타낸 후 증가율을 구해봅시다.
연습문제는 총 30개로, 3개의 선지 중 가장 증가율이 크거나 증가율이 작은 것을 고르는 유형입니다.
다 풀어보면 90개의 증가율 식을 계산해보실 수 있습니다.
✔ 저작물 관련 유의사항
- 본 저작물(문제 및 그림)은 학습지 제작소에 있으며, 비상업적, 상업적 이용이 가능합니다.
- 저작물을 사용 시 출처를 밝힌 후, 자유롭게 사용이 가능합니다.
- 학습지제작소의 저작물을 2차 배포하거나, 제 3자에게 제공하거나, 또는 출판하는 행위(ISBN이 포함된 서적으로 출판)는 엄격히 금지합니다.
Copyright. 2020. 학습지제작소. All Rights Reserved.
#태그 : NCS 증가율, NCS 변화율 계산, 증가율 공식, NCS 증가율 연습문제, 연습장, 무료, 다운, 다운로드, PSAT 증가율 계산, PSAT 증가율 연습문제, 학습지제작소, pdf, 취업, 공기업 증가율, 공기업 변화율
'NCS | PSAT > 2020 NCS+PSAT 유형 연산' 카테고리의 다른 글
| NCS PSAT 백분율 구하는 법 + 연습문제 (0) | 2020.09.08 |
|---|---|
| NCS 소금물의 농도 문제 시간 단축하는 법 (+ 연습문제 50문항) (2) | 2020.08.24 |
| NCS PSAT 자료해석 연산 유형 연습 (5) : 표 빈칸 채우기 (문제 PDF첨부) (0) | 2020.08.10 |
| NCS PSAT 자료해석 계산 연산 유형연습 (4) : 분수 비교하기, 분수 대소 판정하기 (PDF첨부) (0) | 2020.08.09 |
| NCS PSAT 계산 연산 유형연습 (3) : 비율 OX문제, 진위판정 빠르게 푸는 법 (PDF첨부) (0) | 2020.08.07 |