반응형
728x170

| 같이 보면 좋은 글
| i의 제곱근을 구해보자.
허수단위 i는 제곱했을 때 -1이 되는 수를 의미합니다.따라서 -1의 제곱근은 ±i입니다.
그렇다면 i의 제곱근은 얼마일까요?
i의 제곱근의 실수부분을 a, 허수부분을 b로 놓으면 i의 제곱근을 구할 수 있습니다. (단, a,b는 실수)


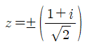
| 결론
i의 제곱근은

입니다.
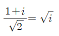
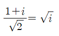
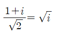
고등수학(상) 교과서나 문제집에서

가 포함된 식들을 많이 볼 수 있으실텐데요,

로 생각해서 푸시면 쉽게 푸실 수 있을 것입니다.
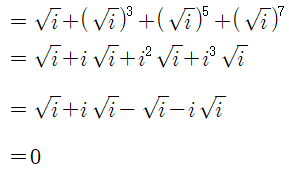
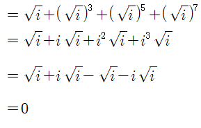
예)

[풀이]

[주의]

✔ 저작물 관련 유의사항
- 본 저작물(문제 및 그림)은 학습지 제작소에 있으며, 비상업적, 상업적 이용이 가능합니다.
- 저작물을 사용 시 출처를 밝힌 후, 자유롭게 사용이 가능합니다.
- 학습지제작소의 저작물을 2차 배포하거나, 제 3자에게 제공하거나, 또는 출판하는 행위(ISBN이 포함된 서적으로 출판)는 엄격히 금지합니다.
Copyright. 2020. 학습지제작소. All Rights Reserved.
더보기
#태그 : i의 제곱근, i^1/2, 제곱해서 i가 되는 수, 고등수학(상), 허수, 복소수
반응형
그리드형
'교육 소식 > 좋은 수업을 위한 고찰' 카테고리의 다른 글
| 소인수분해 잘하는 법 : 거듭제곱수를 알면 된다? (1) | 2020.04.07 |
|---|---|
| 도미노를 수학 수업에서 사용한다고? : 보드게임 수학교구 (0) | 2020.02.19 |
| 혼합계산 순서, 쉽고 재미있게 알아보아요~ (1) | 2020.02.15 |