
안녕하세요, 학습지제작소입니다.
오늘은 초등학교 6학년 포스팅을 하려고 하는데요,
지난 시간에 소수의 나눗셈이 실생활에서 어떻게 쓰이는지 살펴보았습니다.
이번 시간에는 소수의 나눗셈을 세로셈으로 풀어보는 시간을 가져보도록 하겠습니다.
| 세로셈으로 풀어보기
(1) 소수를 자연수로 나누어보기
- day 1 1번 문제 -
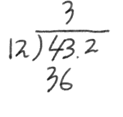
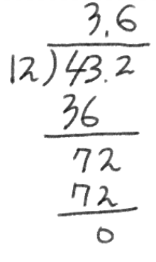
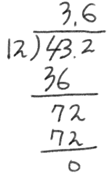
43.2를 12로 나누어봅시다.

43.2와 12의 나눗셈에서 43.2는 나누어지는 수, 12는 나누는 수입니다. 이를 세로셈으로 표현하면,

입니다. 43을 12로 나누었을 때 몫은 3이고, 아래에는 12와 3의 곱을 씁니다.

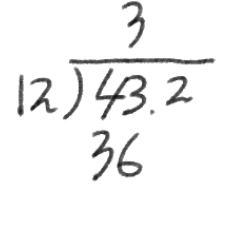
그 다음 43.2에서 36을 뺀 나머지를 적습니다. (소수점은 생략합니다.)

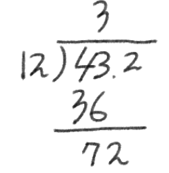
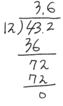
7.2를 12로 나눈 몫을 구합니다.

따라서 몫은 3.6입니다.

몫의 소수점은 꼭 표시하도록 합니다.
(2) 자연수와 자연수의 나눗셈을 풀어보기
- day 1 2번 문제 -
50을 20으로 나누어봅시다.

50÷20을 세로셈으로 표현해봅시다.
50을 20으로 나누면 몫은 2이고, 50 아래 20과 2의 곱(40)을 적습니다.

10.0을 20으로 나눈 몫은 0.5(소수 첫째 자리가 5)고, 10.0 아래 10.0을 적습니다. (편의상 소수점은 생략합니다.)

따라서 몫은 2.5로 나누어 떨어집니다.


오늘 세로셈으로 풀어보기와 함께 학습지 20문항을 함께 올려드립니다.
첨부파일은 아래에 있습니다.
오늘의 포스팅은 여기까지입니다.
감사합니다!
#태그 : 소수의 나눗셈, 세로셈, 풀이, 소수의 나눗셈 문제, 초6 소수의 나눗셈 학습지, 초등학교 6학년 수학
'수학 학습지 > 초등학교 6학년 1학기' 카테고리의 다른 글
| [초6-1] 12. 비와 비율 > 비 읽기, 비 읽는 방법 (개념+수학문제) (0) | 2020.05.13 |
|---|---|
| [초6-1] 11. 비와 비율 > 비교하는 양, 기준량 (개념+수학문제) (0) | 2020.05.07 |
| [초6-1] 9. 소수의 나눗셈 > 종합 (1) (실생활 속 사례 + 연산문제) (0) | 2020.04.15 |
| [초6-1] 8. 소수의 나눗셈 > (자연수)÷(자연수) (개념+수학문제) (2) | 2020.04.08 |
| [초6-1] 7. 소수의 나눗셈 > 몫의 소수점 아래가 0인 (소수)÷(자연수) (개념+수학문제) (0) | 2020.04.01 |