[참고] 글 내용과 학습지를 검토 중에 있습니다. 수정할 사항이 있는 경우 댓글로 남겨주세요.
* 멱급수
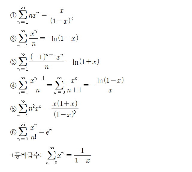
멱급수란, 대개 다음과 같은 꼴을 하고 있습니다.

이번 시간에는 $a_n$이 단순한, 몇 가지 멱급수를 계산해봅시다.
[등비수열의 극한값]은 이번 포스팅에서 제외하였으나, 학습지 연습문제는 수록하였습니다.
※ 학습지에서 다룬 개념
방문자님께서 신청해주신 유형을 중심으로 활동지를 짜보았습니다.
멱급수 중 $a_n = n, \cfrac{1}{n}, n^2$ 등으로 이루어져있습니다.
매클로린 급수 중 삼각함수는 제외하였습니다.

①번 식 유도과정

※ 잘 읽어주세요!
편입 준비하시는 분으로부터 우선 연산할 수 있는 문제로 만들어달라는 요청이 있어 위에서 소개해드렸던 급수들을 계산해볼 수 있도록 문제를 구성했습니다. 모두 23문제입니다.
혹시 자료에서 오타가 있거나, 답안지에 오류가 있는 경우 댓글이나 이메일로 알려주시면 감사하겠습니다.
* 학습지 미리보기


* 첨부파일
✔ 이 글이 도움이 되셨나요?
- 댓글이나 자유게시판에 글을 남겨주세요. 글쓴이에게 큰 힘이 됩니다.
✔ 저작물 관련 유의사항
- 본 저작물(문제 및 도형 그림)은 학습지제작소에 있으며, 비상업적, 상업적 이용(수업에서 부교재로 사용하는 경우만)이 가능합니다.
- 다른 사진을 참조한 경우, 파일 마지막 페이지에 출처를 밝히고 있습니다.
- 저작물을 사용 시 출처를 밝힌 후, 자유롭게 사용이 가능합니다.
- 학습지제작소의 저작물을 관리자의 동의없이 2차 배포하거나, 제 3자에게 제공하거나, 또는 출판하는 행위(ISBN이 포함된 서적으로 출판)는 엄격히 금지합니다.
Copyright. 2023. 학습지제작소. All Rights Reserved.
'수학 학습지 > 편입수학' 카테고리의 다른 글
| 매클로린 급수(Maclaurin's series) 목록, 암기장 다운로드 (0) | 2023.04.09 |
|---|