* 같이 보면 좋은 글
📄[초4-2] 진분수-진분수 | 분모가 같은 두 진분수의 뺄셈 계산학습지 50제
📄[초4-2] 분모가 같은 두 진분수의 덧셈 연습문제 50문제
* 연속한 진분수의 덧셈과 뺄셈
지난 시간까지 분모가 같은 두 진분수의 덧셈 50문제,
분모가 같은 두 진분수의 뺄셈 50문제를 공유해보았습니다.
이번 시간에는 분모가 같은 진분수를 연속해서 더하거나 빼기 학습지 30문제 분을
만들어보았습니다.

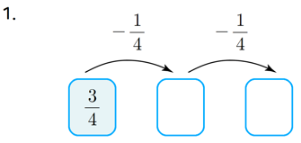
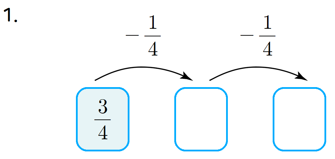
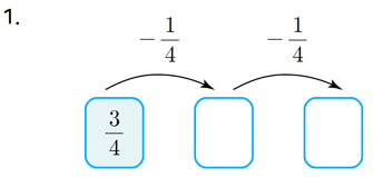
활동지의 유형은
3/4와 같은 진분수를 주고,
연산자를 두 번 주어
연속으로 계산하는 활동지입니다.
이를 위해 식을 세우고 답을 구하는 과정을 스스로 만들어 볼 필요가 있습니다.
* 학습지 미리보기


* 첨부파일
* 닫는 말
이번 시간에는 연속한 진분수의 덧셈과 뺄셈을 알아보았습니다.
분모가 같은 진분수의 덧셈과 뺄셈을 두 번 해보면서
연산감각을 다질 수 있도록 하였습니다.
수업 의도에 알맞게 재구성하셔서
활용하시면 되겠습니다.
항상 학습지제작소 방문에 감사드리며,
더욱 양질의 컨텐츠로 보답하겠습니다.
감사합니다.
✔ 이 글이 도움이 되셨나요?
- 댓글이나 자유게시판에 글을 남겨주세요. 글쓴이에게 큰 힘이 됩니다.
✔ 저작물 관련 유의사항
- 본 저작물(문제 및 그림)은 학습지제작소에 있으며, 비상업적, 상업적 이용(수업에서 부교재로 사용하는 경우만)이 가능합니다.
- 저작물을 사용 시 출처를 밝힌 후, 자유롭게 사용이 가능합니다.
- 학습지제작소의 저작물을 관리자의 동의없이 2차 배포하거나, 제 3자에게 제공하거나, 또는 출판하는 행위(ISBN이 포함된 서적으로 출판)는 엄격히 금지합니다.
Copyright. 2021. 학습지제작소. All Rights Reserved.
#태그 : 초4, 초등학교4학년, 진분수의 덧셈과 뺄셈, 연속
'수학 학습지 > 초등학교 4학년 2학기' 카테고리의 다른 글
| [초4-2] 분모가 같은 대분수의 뺄셈 | (대분수)-(대분수) 보충학습지 50제 (0) | 2022.01.03 |
|---|---|
| [초4-2] 분모가 같은 대분수의 덧셈 | (대분수)+(대분수) 수학학습지 50문제 | 수학학습지, 수업자료 (0) | 2021.12.12 |
| [초4-2] 진분수-진분수 | 분모가 같은 두 진분수의 뺄셈 계산학습지 50제 (0) | 2021.11.30 |
| [초4-2] 분모가 같은 두 진분수의 덧셈 연습문제 50문제 (1) | 2021.11.22 |
| 소수 다섯 고개: 소수의 덧셈과 뺄셈 활동지 | 초등학교 4학년 2학기 수학 학습지 (2) | 2021.11.15 |