
| 같이 보면 좋은 글
| 자연수의 일부분 : (자연수) × (분수)
15의 2/3는 얼마일까요?
15의 1/3은 15를 똑같이 3으로 나눈 값이기 때문에 5입니다.
2/3은 1/3이 두 개이므로,
5×2=10입니다.
사실, 자연수의 분수는 곱과 서로 같습니다.

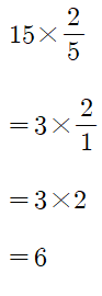
[정리] 자연수와 분수의 곱셈은 다음과 같은 방법으로 계산합니다.
1. 대각선 방향으로 약분합니다.
2. 분자끼리 곱합니다.
3. 곱의 분모가 1인 경우 자연수로 나타냅니다.
곱이 가분수인 경우 대분수로 나타냅니다.
예)

예)

예)

| 학습지 미리보기


| 첨부파일
| 닫는 말
자연수 곱하기 분수는 분수 곱하기 자연수와 마찬가지로 약분->분자 곱하기->곱 나타내기순서로 계산합니다.
분수 곱하기 자연수는 분수를 몇 번 더했는지를 나타내지만,자연수 곱하기 분수는 자연수의 부분을 나타냅니다.
예) 현수는 30개의 과자 중 1/3을 먹었습니다. 현수가 먹은 과자는 모두 몇 개입니까?
✔ 저작물 관련 유의사항
- 본 저작물(문제 및 그림)은 학습지 제작소에 있으며, 비상업적, 상업적 이용이 가능합니다.
- 저작물을 사용 시 출처를 밝힌 후, 자유롭게 사용이 가능합니다.
- 학습지제작소의 저작물을 2차 배포하거나, 제 3자에게 제공하거나, 또는 출판하는 행위(ISBN이 포함된 서적으로 출판)는 엄격히 금지합니다.
Copyright. 2020. 학습지제작소. All Rights Reserved.
#태그 : 자연수 곱하기 분수, 자연수의 일부분, 분수의 곱셈, 초5, 초등학교 5학년, 약분, 학습지제작소, 연습문제
'수학 학습지 > 초등학교 5학년 2학기' 카테고리의 다른 글
| [초5-2] 8. 분수 곱하기 분수, 대분수 곱셈 (개념+수학문제) (0) | 2020.08.20 |
|---|---|
| [초5-2] 7. 분수 곱하기 분수 계산하는 법, (진분수)×(진분수) (개념+수학문제) (1) | 2020.08.14 |
| [초5-2] 5. (분수)×(자연수), 분수 곱하기 자연수 계산하는 방법 (개념+수학문제) (0) | 2020.07.30 |
| [초5-2] 4. 수의 범위와 어림하기 > 올림, 버림, 반올림 (개념+수학문제) (0) | 2020.07.22 |
| [초5-2] 3. 수의 범위와 어림하기 > 자연수의 버림, 어림수 구하기 (개념+수학문제) (0) | 2020.07.15 |